ÁªÏµÖйú¡¤½ðɳ³Çjs93Ïß·¼ì²âÖÐÐÄ(¹É·Ý)ÓÐÏÞ¹«Ë¾-¹Ù·½ÍøÕ¾

ÊÖ»ú£ºÍô˾Àí15802760502
ÓÊÏ䣺hezi027@qq.com
QQ£º3212587206
µØµã£ºÎ人Êй¤¾ßºþÇø´´¹È·20ºÅ¿Æ´´ÖÐÐÄ22¶°
Ïà¹ØÎÄÕÂ
- 1¸É»õ·ÖÏíØ¾Ö·ÅÆÁÕÏÊұȵç´ÅÆÁÕÏÊÒÒªÇó¸ü¸ß
- 2¸É»õ·ÖÏíØÎ人Öйú¡¤½ðɳ³Çjs93Ïß·¼ì²âÖÐÐÄ(¹É·Ý)ÓÐÏÞ¹«Ë¾-¹Ù·½ÍøÕ¾²úÆ·ÓÅÊÆ
- 3¸É»õ·ÖÏíØÎ人Öйú¡¤½ðɳ³Çjs93Ïß·¼ì²âÖÐÐÄ(¹É·Ý)ÓÐÏÞ¹«Ë¾-¹Ù·½ÍøÕ¾Çå¾²¹¤Óþ߲úÆ·ÓÅÊÆ
- 4¸É»õ·ÖÏíØÎ人Öйú¡¤½ðɳ³Çjs93Ïß·¼ì²âÖÐÐÄ(¹É·Ý)ÓÐÏÞ¹«Ë¾-¹Ù·½ÍøÕ¾¾Ö·ÅÒDzî±ð¼°ÓÅÊÆ
- 5¸É»õ·ÖÏíØÎ人Öйú¡¤½ðɳ³Çjs93Ïß·¼ì²âÖÐÐÄ(¹É·Ý)ÓÐÏÞ¹«Ë¾-¹Ù·½ÍøÕ¾ÎÞ¾Ö·ÅÄÍѹ²âÊÔϵͳÓÅÊÆ
- 6¸É»õ·ÖÏíØÎ人Öйú¡¤½ðɳ³Çjs93Ïß·¼ì²âÖÐÐÄ(¹É·Ý)ÓÐÏÞ¹«Ë¾-¹Ù·½ÍøÕ¾À׵繥»÷²âÊÔϵͳÓÅÊÆ
- 7HZHL-400A-I ÈýÏàÖÇÄÜ»ØÂ·µç×è²âÊÔÒDZܿÓÖ¸ÄÏ
- 8¸É»õ·ÖÏíØÖйú¡¤½ðɳ³Çjs93Ïß·¼ì²âÖÐÐÄ(¹É·Ý)ÓÐÏÞ¹«Ë¾-¹Ù·½ÍøÕ¾´óµçÁ÷ÎÂÉýϵͳÓÅÊÆ
- 9HZJB-MS È«×Ô¶¯SF6Ãܶȼ̵çÆ÷УÑéÒDZܿÓÖ¸ÄÏ
- 10¸É»õ·ÖÏíØ¼Ìµç±£»£»£»£»£»£»£»£»¤·´Ê¹ʲ½·¥Åàѵ
¸É»õ¿ÎÌà | µçÀÂÕðµ´²¨¾Ö·ÅÊÔÑé
Ðû²¼Ê±¼ä£º2025-02-28 13:04:33ÈËÆø£º
µçÀÂÕñµ´²¨¼ì²âÊÖÒÕÖ÷ÒªÓÃÓÚ½»Áª¾ÛÒÒÏ©µçÁ¦µçÀ¼ì²â£¬£¬£¬£¬£¬£¬ÊÇÊôÓÚÀëÏß¼ì²âµÄÒ»ÖÖÓÐÓÃÐÎʽ ¡£¡£¡£¡£¡£¡£¡£¸ÃÊÖÒÕ»ùÓÚLCR×èÄáÕñµ´ÔÀí£¬£¬£¬£¬£¬£¬ÔÚÍê³ÉµçÀÂÖ±Á÷³äµçµÄ»ù´¡ÉÏ£¬£¬£¬£¬£¬£¬Í¨¹ýÄÚÖõĸßѹµç¿¹Æ÷¡¢¸ßѹʵʱ¹Ì̬¿ª¹ØÓëÊÔÆ·µçÀÂÐγÉ×èÄáÕñµ´µçѹ²¨£¬£¬£¬£¬£¬£¬ÔÚÊÔÆ·µçÀÂÉÏÊ©¼Ó½üËÆ¹¤ÆµµÄÕýÏÒµçѹ²¨£¬£¬£¬£¬£¬£¬Òý·¢³öµçÀÂDZÔÚȱÏÝ´¦µÄ·ÅµçÐźš£¡£¡£¡£¡£¡£¡£
??????? µçÀÂÕðµ´²¨ÊÔÑéÔÀí±ê×¼»ùÓÚ×èÄáÕñµ´²¨µÄµçÀ¾ַżì²âÒªÁì¾ßÓй©µçÈÝÁ¿Ð¡¡¢²âÊÔʱ¼ä¶Ì¡¢ÏÖ³¡²Ù×÷Àû±ã¡¢¶ÔµçÀ±¾ÌåÎÞËðÉ˵ÈÏÔÖøÌØµã£¬£¬£¬£¬£¬£¬¿ÉÔ¤ÏÈ·¢Ã÷ȱÏݲ¢¶ÔȱÏÝ׼ȷ¶¨Î»£¬£¬£¬£¬£¬£¬ÊÇÏÖÔÚÉÏÏȽøµÄµçÀ¾ַÅÕï¶ÏÒªÁìÖ®Ò»¡£¡£¡£¡£¡£¡£¡£
??????? Åбð¾Ö·ÅÀàÐͲ¢¶¨Î»¹ÊÕÏλÖᣡ£¡£¡£¡£¡£¡£¸ÃÊÖÒÕÔÚ½üËÆ¹¤Æµ×´Ì¬Ï»ùÓÚÂö³åµçÁ÷·¨¸ßѸËٶȼì²â¾Ö²¿·Åµç£¬£¬£¬£¬£¬£¬ÔÚ´Ë»ù´¡ÉÏÌáÈ¡¾Ö·ÅÂö³åµÄÐÅÏ¢£¬£¬£¬£¬£¬£¬ÍŽá¹ÊÕÏģʽ¿âÅбðʵ²â¹ÊÕÏÀàÐÍ£»£»£»£»£»£»£»£»»ùÓÚÂö³åÐźÅÔÚµçÀÂÖÐÈö²¥µÄÐв¨ÔÀíÍê³ÉÂö³å¶ÔµÄÆ¥Å䣬£¬£¬£¬£¬£¬Æ¾Ö¤Ê±¼ä²îË㷨׼ȷÅÌËã¹ÊÕϵãËùÔÚλÖᣡ£¡£¡£¡£¡£¡£
ÊÔÑé×°±¸£º
Õðµ´²¨ÊÇÒ»ÖÖ½ô´Õ, ÇáÁ¿ÇÒÓÃ;ÆÕ±éµÄ²úƷϵÁÐ, ÓÃÓÚ²âÊÔºÍÕï¶ÏÖÐѹÅäµçµçÀ¡£¡£¡£¡£¡£¡£¡£ÏµÍ³¿É±à³Ì¿ØÖÆ, ¾ßÓÐ×Ô¶¯ÄÍѹ, ¾Ö²¿·Åµç (PD) ÕÉÁ¿ºÍÆÊÎöÒÔ¼°¾Ö·Å¶¨Î»¹¦Ð§¡£¡£¡£¡£¡£¡£¡£Ê¹Óà ÅäÌ×Ì×¼þ¿ÉÒÔÇáËɾÙÐпØÖÆºÍÆÊÎö¡£¡£¡£¡£¡£¡£¡£
DAC µçÀ²âÊÔ²»µ«½öÊÇ»ù±¾µÄÆÀ¹À“ºÃ»ò»µ”µÄÕÉÁ¿ÊÖ¶Î, ¸üÊÇÒ»Ö֏߽׵įÊÎöºÍÕï¶ÏÀíÄî¡£¡£¡£¡£¡£¡£¡£ËüÔÊÐí¶ÔРװ, άÐÞ»òÍýÏëÄ¥Á·µÄµçÀ¾øÔµ×´Ì¬¾ÙÐÐÆÀ¹À, ´Ó¶øÎª×ʲúÖÎÀíÌṩ²Î¿¼¡£¡£¡£¡£¡£¡£¡£ÏµÍ³µÄÕÉÁ¿Ä£Ê½°üÀ¨£º
DAC µçѹ²âÊÔºÍ¾Ö·ÅÆÊÎöÄܹ»¿É¿¿µØ¼ì²â
ÊÔÑéÔÀí£º
»ùÓÚ OWTS ÊÖÒյIJâÊÔµçѹ±¬·¢ÔÀíÈçͼ1Ëùʾ¡£¡£¡£¡£¡£¡£¡£Ö±Á÷¸ßѹµçÔ´Ê×ÏÈͨ¹ýÏßÐÔÒ»Á¬Éýѹ·½·¨¶Ô±»²âµçÀ¾ÙÐÐÖð²½³äµçª¨³äµçµçÁ÷ºã¶¨ª©¡¢¼ÓѹÖÁÔ¤ÉèÖµ¡£¡£¡£¡£¡£¡£¡£¼ÓѹÍê³Éºó£¬£¬£¬£¬£¬£¬¹Ì̬¸ßѹ¿ª¹Ø S£¨¼¤¹â´¥·¢³¡Ð§Ó¦¹Ü LTT£©ÔÚСÓÚ 1μS µÄʱ¼äÄڱպϣ¬£¬£¬£¬£¬£¬Ê¹±»²âµçÀµçÈÝÓë OWTS ϵͳÖиßѹµç¸Ð L ±¬·¢Ð³Õñ´Ó¶øÔÚ±»²âµçÀÂÉϱ¬·¢×èÄáÕñµ´½»±äµçѹ£¨DAC£©£¬£¬£¬£¬£¬£¬Æä²¨Ðμ°ÆµÂÊ¿¿½ü¹¤Æµµçѹ£¬£¬£¬£¬£¬£¬ÇÒÒ»Á¬Ê±¼äΪ mS ¼¶£¬£¬£¬£¬£¬£¬¶ÔµçÀ¾øÔµÎÞËðÉË¡£¡£¡£¡£¡£¡£¡£
ÓÃÖ±Á÷µçÔ´½«±»²âÊÔµçÀÂÔÚ¼¸ÃëÖÐÄÚ³äµçÖÁÊÂÇéµçѹ(¶î¶¨µçѹ)¡£¡£¡£¡£¡£¡£¡£ÊµÊ±¿ìËÙ״̬¿ª¹Ø S ±ÕºÏ£¬£¬£¬£¬£¬£¬½«±»²âµçÀºͿÕÐĵç¸Ð×é³É´®ÁªÐ³Õñ»ØÂ·
»ØÂ·×îÏÈÒÔµÄÆµÂʾÙÐÐÕñµ´¡£¡£¡£¡£¡£¡£¡£¿£¿£¿£¿£¿ÕÐĵç¸Ðֵƾ֤гÕñƵÂʵÄÒªÇó¾ÙÐÐÑ¡Ôñ£¬£¬£¬£¬£¬£¬ÆµÂʹæÄ£ 50-1000Hz¡£¡£¡£¡£¡£¡£¡£Í¼ 1 ÖеÄÖÐѹµç·һÑùƽ³£¾ßÓÐÏà¶ÔµÍµÄ½éÖÊÏûºÄ½ÇµÄÌØµã£¬£¬£¬£¬£¬£¬Óë¾ßÓеÍÏûºÄµÄ¿ÕÐĵç¸ÐÏàÅ䣬£¬£¬£¬£¬£¬¿É»ñµÃ¾ßÓÐ¸ßÆ·ÖÊÒòÊýµÄгÕñ»ØÂ·¡£¡£¡£¡£¡£¡£¡£»£»£»£»£»£»£»£»ØÂ·Æ·ÖÊ Q Ò»Ñùƽ³£Îª30-100£¬£¬£¬£¬£¬£¬Õñµ´²¨ÒÔгÕñƵÂÊÔÚ 0.3-1s ÄÚË¥¼õÍê±Ï£¬£¬£¬£¬£¬£¬ÕâÒ»Àú³ÌÖ»Óм¸Ê®·ÖÖ®Ò»Öܲ¨£¬£¬£¬£¬£¬£¬²¢¶Ô±»²âÊÔµçÀ³äµç£¬£¬£¬£¬£¬£¬Óë 50Hz(60Hz)Ê±ÊÆ²¿·ÅµçºÜÊÇÏàËÆ¡£¡£¡£¡£¡£¡£¡£
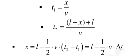
ϵͳ½ÓÄÉÂö³å·´Éä·¨¾ÙÐоֲ¿·Åµç¶¨Î»£¬£¬£¬£¬£¬£¬ÔÀíʾÒâÈçͼËùʾ¡£¡£¡£¡£¡£¡£¡£²âÊÔÒ»Ìõ³¤¶ÈΪ LµÄµçÀÂ,¼ÙÉèÔÚ¾à²âÊÔ¶Ë x ´¦±¬·¢¾Ö²¿·Åµç,Âö³åÑØµçÀÂÏòÁ½¸öÏà·´Æ«ÏòÈö²¥,ÆäÖÐÒ»¸öÂö³å(ΪÀû±ãÆð¼û,ÎÄÖгÆÎª“ÈëÉ䲨”)¾ÓÉʱ¼ä t 1 µÖ´ï²âÊÔ¶Ë,ÁíÒ»¸öÂö³å(±¾ÎÄÖгÆÎª“·´É䲨”)Ïò²âÊÔ¶Ô¶ËÈö²¥,²¢ÔڶԶ˱¬·¢·´Éä,Ö®ºóÔÙÏò²âÊÔ¶ËÈö²¥ªª¾ÓÉʱ¼ä t 2 µÖ´ï²âÊÔ¶Ë¡£¡£¡£¡£¡£¡£¡£Æ¾Ö¤Á½¸öÂö³åµÖ´ïÊԶ˵Äʱ¼ä²î¡÷ t£¬£¬£¬£¬£¬£¬¿ÉÅÌËã¾Ö²¿·Åµç±¬·¢Î»Ö㬣¬£¬£¬£¬£¬¼´£º

ͼ 2Âö³å·´Éä·¨ÔÀíʾÒâͼ
¹ØÓÚÏÖ³¡µÄµçÀ¾ַÅÕÉÁ¿¶¨Î»À´Ëµªª±»²âµçÀ³¤¶ÈÒ»Ö±ÊÇÓ°ÏìÕÉÁ¿×¼È·ÐÔµÄÒ»¸öÖ÷ÒªÒòËØ¡£¡£¡£¡£¡£¡£¡£²»µ«ÊÇÓÉÓÚ¸ü³¤µÄµçÀ¶ÔÓ¦ÓµÓиü´óµÄµçÈÝÖµ£¬£¬£¬£¬£¬£¬¹ØÓÚ¼Óѹ³äµç»·½ÚÒâζןü¸ßµÄ³äµç¹¦ÂÊ£¬£¬£¬£¬£¬£¬Í¬Ê±Ò²ÓÉÓÚ¸ü³¤µÄµçÀÂ»á¸øËùÐè²¶»ñ¾Ö·ÅÐźŴøÀ´¸ü´óµÄË¥¼õºÍ»û±ä¡£¡£¡£¡£¡£¡£¡£
??????? ¹Å°åµ¥¶ËÕñµ´²¨²âÊÔϵͳÊÇ»ùÓÚÔÚ±»²âµçÀµÄÒ»¶Ë¼ì²â¾Ö·Å³õʼÐźźÍͳһ¾Ö·ÅÊÂÎñ´ÓµçÀÂÔ¶¶ËÕۻط´ÉäÐźŵÄʱ¼ä²î¡£¡£¡£¡£¡£¡£¡£ÈôÊǾַÅȱÏÝλÓÚ¿¿½üµçÀ½ü¶ËÒ»²à£¬£¬£¬£¬£¬£¬¾Ö·ÅµÄ·´É䲨ÐÎÔòÐè;¾¶Áè¼Ý 1,5 ±¶µçÀÂÈ«³¤µÄ·¾¶²Å»ªµÖ´ï½ü¶ËµÄ¼ì²âµ¥Î»£¬£¬£¬£¬£¬£¬Õâ»á¸ø¾Ö·ÅÐźŴøÀ´ÎÞ·¨×èÖ¹µÄÎÞν˥¼õ¡£¡£¡£¡£¡£¡£¡£
Êý¾ÝÆÊÎö£º
??????? УÑ鲨ÐΣ¬£¬£¬£¬£¬£¬¿É¿´µçÀÂÈ«³¤¼°ÖÐÐÄÌÖÂÛµÄÏêϸλÖÃ
??????? PRPD ͼһÈýÏóÏ޵ķŵçͼÆ×
??????? ·´É伴λÖÃÓ³Ïñͼªªµã»÷ÓÒ±ßѰÕÒ·´É䲨£¬£¬£¬£¬£¬£¬µ±ÐźÅÊÂÎñ½ÏÉÙʱ£¬£¬£¬£¬£¬£¬Îó²î¹æÄ£µ÷´óµã£¬£¬£¬£¬£¬£¬È»ºóÊÓ²ìÓÐÎÞÖù×´·ÅµçÌØÕ÷¼°·ÅµçÌØÕ÷²¨ÐÎ
ÏêϸÐÅÏ¢À¸Àï¿É¿´µçÀµçÈÝÖµ¡¢ÆµÂÊ¡¢×èÄáË¥¼õÇúÏß¼°µçÀµĽéËðÖµ¡£¡£¡£¡£¡£¡£¡£
??????? µçÀÂÕðµ´²¨ÊÔÑéÔÀí±ê×¼»ùÓÚ×èÄáÕñµ´²¨µÄµçÀ¾ַżì²âÒªÁì¾ßÓй©µçÈÝÁ¿Ð¡¡¢²âÊÔʱ¼ä¶Ì¡¢ÏÖ³¡²Ù×÷Àû±ã¡¢¶ÔµçÀ±¾ÌåÎÞËðÉ˵ÈÏÔÖøÌØµã£¬£¬£¬£¬£¬£¬¿ÉÔ¤ÏÈ·¢Ã÷ȱÏݲ¢¶ÔȱÏÝ׼ȷ¶¨Î»£¬£¬£¬£¬£¬£¬ÊÇÏÖÔÚÉÏÏȽøµÄµçÀ¾ַÅÕï¶ÏÒªÁìÖ®Ò»¡£¡£¡£¡£¡£¡£¡£
??????? Åбð¾Ö·ÅÀàÐͲ¢¶¨Î»¹ÊÕÏλÖᣡ£¡£¡£¡£¡£¡£¸ÃÊÖÒÕÔÚ½üËÆ¹¤Æµ×´Ì¬Ï»ùÓÚÂö³åµçÁ÷·¨¸ßѸËٶȼì²â¾Ö²¿·Åµç£¬£¬£¬£¬£¬£¬ÔÚ´Ë»ù´¡ÉÏÌáÈ¡¾Ö·ÅÂö³åµÄÐÅÏ¢£¬£¬£¬£¬£¬£¬ÍŽá¹ÊÕÏģʽ¿âÅбðʵ²â¹ÊÕÏÀàÐÍ£»£»£»£»£»£»£»£»»ùÓÚÂö³åÐźÅÔÚµçÀÂÖÐÈö²¥µÄÐв¨ÔÀíÍê³ÉÂö³å¶ÔµÄÆ¥Å䣬£¬£¬£¬£¬£¬Æ¾Ö¤Ê±¼ä²îË㷨׼ȷÅÌËã¹ÊÕϵãËùÔÚλÖᣡ£¡£¡£¡£¡£¡£
ÊÔÑé×°±¸£º

Õðµ´²¨ÊÇÒ»ÖÖ½ô´Õ, ÇáÁ¿ÇÒÓÃ;ÆÕ±éµÄ²úƷϵÁÐ, ÓÃÓÚ²âÊÔºÍÕï¶ÏÖÐѹÅäµçµçÀ¡£¡£¡£¡£¡£¡£¡£ÏµÍ³¿É±à³Ì¿ØÖÆ, ¾ßÓÐ×Ô¶¯ÄÍѹ, ¾Ö²¿·Åµç (PD) ÕÉÁ¿ºÍÆÊÎöÒÔ¼°¾Ö·Å¶¨Î»¹¦Ð§¡£¡£¡£¡£¡£¡£¡£Ê¹Óà ÅäÌ×Ì×¼þ¿ÉÒÔÇáËɾÙÐпØÖÆºÍÆÊÎö¡£¡£¡£¡£¡£¡£¡£
DAC µçÀ²âÊÔ²»µ«½öÊÇ»ù±¾µÄÆÀ¹À“ºÃ»ò»µ”µÄÕÉÁ¿ÊÖ¶Î, ¸üÊÇÒ»Ö֏߽׵įÊÎöºÍÕï¶ÏÀíÄî¡£¡£¡£¡£¡£¡£¡£ËüÔÊÐí¶ÔРװ, άÐÞ»òÍýÏëÄ¥Á·µÄµçÀ¾øÔµ×´Ì¬¾ÙÐÐÆÀ¹À, ´Ó¶øÎª×ʲúÖÎÀíÌṩ²Î¿¼¡£¡£¡£¡£¡£¡£¡£ÏµÍ³µÄÕÉÁ¿Ä£Ê½°üÀ¨£º
ÔÚÒ»ÂÉ»ò¸ßÓÚ¹¤¿öµçѹϵÄÄÍѹ²âÊÔ,
¶ÔÕûÌåµçÀÂϵͳ¾ÙÐоֲ¿·ÅµçÕÉÁ¿, ÆÊÎöºÍ¶¨Î»
½éËðÒò×Ó (tan δ) µÄ¹ÀËã¡£¡£¡£¡£¡£¡£¡£
¶ÔÕûÌåµçÀÂϵͳ¾ÙÐоֲ¿·ÅµçÕÉÁ¿, ÆÊÎöºÍ¶¨Î»
½éËðÒò×Ó (tan δ) µÄ¹ÀËã¡£¡£¡£¡£¡£¡£¡£
DAC µçѹ²âÊÔºÍ¾Ö·ÅÆÊÎöÄܹ»¿É¿¿µØ¼ì²â
ÓÉ×°ÖûòÆÌÉèÒýÆðµÄ¾øÔµÈ±ÏÝ
µçÀ¸½¼þµÄȱÏÝ, ¼´ÖÐÐÄÌÖÂۺ͵çÀÂÖÕ¶Ë
ÓÉÀÏ»¯Àú³Ìµ¼ÖµĵçÀ¾øÔµÁÓ»¯
µçÀ¸½¼þµÄȱÏÝ, ¼´ÖÐÐÄÌÖÂۺ͵çÀÂÖÕ¶Ë
ÓÉÀÏ»¯Àú³Ìµ¼ÖµĵçÀ¾øÔµÁÓ»¯
ÊÔÑéÔÀí£º
ÔÀíͼ

µ´²¨¾Ö·Å²âÊÔÔÀí
»ùÓÚ OWTS ÊÖÒյIJâÊÔµçѹ±¬·¢ÔÀíÈçͼ1Ëùʾ¡£¡£¡£¡£¡£¡£¡£Ö±Á÷¸ßѹµçÔ´Ê×ÏÈͨ¹ýÏßÐÔÒ»Á¬Éýѹ·½·¨¶Ô±»²âµçÀ¾ÙÐÐÖð²½³äµçª¨³äµçµçÁ÷ºã¶¨ª©¡¢¼ÓѹÖÁÔ¤ÉèÖµ¡£¡£¡£¡£¡£¡£¡£¼ÓѹÍê³Éºó£¬£¬£¬£¬£¬£¬¹Ì̬¸ßѹ¿ª¹Ø S£¨¼¤¹â´¥·¢³¡Ð§Ó¦¹Ü LTT£©ÔÚСÓÚ 1μS µÄʱ¼äÄڱպϣ¬£¬£¬£¬£¬£¬Ê¹±»²âµçÀµçÈÝÓë OWTS ϵͳÖиßѹµç¸Ð L ±¬·¢Ð³Õñ´Ó¶øÔÚ±»²âµçÀÂÉϱ¬·¢×èÄáÕñµ´½»±äµçѹ£¨DAC£©£¬£¬£¬£¬£¬£¬Æä²¨Ðμ°ÆµÂÊ¿¿½ü¹¤Æµµçѹ£¬£¬£¬£¬£¬£¬ÇÒÒ»Á¬Ê±¼äΪ mS ¼¶£¬£¬£¬£¬£¬£¬¶ÔµçÀ¾øÔµÎÞËðÉË¡£¡£¡£¡£¡£¡£¡£
ÓÃÖ±Á÷µçÔ´½«±»²âÊÔµçÀÂÔÚ¼¸ÃëÖÐÄÚ³äµçÖÁÊÂÇéµçѹ(¶î¶¨µçѹ)¡£¡£¡£¡£¡£¡£¡£ÊµÊ±¿ìËÙ״̬¿ª¹Ø S ±ÕºÏ£¬£¬£¬£¬£¬£¬½«±»²âµçÀºͿÕÐĵç¸Ð×é³É´®ÁªÐ³Õñ»ØÂ·

»ØÂ·×îÏÈÒÔµÄÆµÂʾÙÐÐÕñµ´¡£¡£¡£¡£¡£¡£¡£¿£¿£¿£¿£¿ÕÐĵç¸Ðֵƾ֤гÕñƵÂʵÄÒªÇó¾ÙÐÐÑ¡Ôñ£¬£¬£¬£¬£¬£¬ÆµÂʹæÄ£ 50-1000Hz¡£¡£¡£¡£¡£¡£¡£Í¼ 1 ÖеÄÖÐѹµç·һÑùƽ³£¾ßÓÐÏà¶ÔµÍµÄ½éÖÊÏûºÄ½ÇµÄÌØµã£¬£¬£¬£¬£¬£¬Óë¾ßÓеÍÏûºÄµÄ¿ÕÐĵç¸ÐÏàÅ䣬£¬£¬£¬£¬£¬¿É»ñµÃ¾ßÓÐ¸ßÆ·ÖÊÒòÊýµÄгÕñ»ØÂ·¡£¡£¡£¡£¡£¡£¡£»£»£»£»£»£»£»£»ØÂ·Æ·ÖÊ Q Ò»Ñùƽ³£Îª30-100£¬£¬£¬£¬£¬£¬Õñµ´²¨ÒÔгÕñƵÂÊÔÚ 0.3-1s ÄÚË¥¼õÍê±Ï£¬£¬£¬£¬£¬£¬ÕâÒ»Àú³ÌÖ»Óм¸Ê®·ÖÖ®Ò»Öܲ¨£¬£¬£¬£¬£¬£¬²¢¶Ô±»²âÊÔµçÀ³äµç£¬£¬£¬£¬£¬£¬Óë 50Hz(60Hz)Ê±ÊÆ²¿·ÅµçºÜÊÇÏàËÆ¡£¡£¡£¡£¡£¡£¡£
ϵͳ½ÓÄÉÂö³å·´Éä·¨¾ÙÐоֲ¿·Åµç¶¨Î»£¬£¬£¬£¬£¬£¬ÔÀíʾÒâÈçͼËùʾ¡£¡£¡£¡£¡£¡£¡£²âÊÔÒ»Ìõ³¤¶ÈΪ LµÄµçÀÂ,¼ÙÉèÔÚ¾à²âÊÔ¶Ë x ´¦±¬·¢¾Ö²¿·Åµç,Âö³åÑØµçÀÂÏòÁ½¸öÏà·´Æ«ÏòÈö²¥,ÆäÖÐÒ»¸öÂö³å(ΪÀû±ãÆð¼û,ÎÄÖгÆÎª“ÈëÉ䲨”)¾ÓÉʱ¼ä t 1 µÖ´ï²âÊÔ¶Ë,ÁíÒ»¸öÂö³å(±¾ÎÄÖгÆÎª“·´É䲨”)Ïò²âÊÔ¶Ô¶ËÈö²¥,²¢ÔڶԶ˱¬·¢·´Éä,Ö®ºóÔÙÏò²âÊÔ¶ËÈö²¥ªª¾ÓÉʱ¼ä t 2 µÖ´ï²âÊÔ¶Ë¡£¡£¡£¡£¡£¡£¡£Æ¾Ö¤Á½¸öÂö³åµÖ´ïÊԶ˵Äʱ¼ä²î¡÷ t£¬£¬£¬£¬£¬£¬¿ÉÅÌËã¾Ö²¿·Åµç±¬·¢Î»Ö㬣¬£¬£¬£¬£¬¼´£º

ʽÖУ¬£¬£¬£¬£¬£¬ v ΪÂö³åÔÚµçÀÂÖÐÈö²¥µÄ²¨ËÙ


¹ØÓÚÏÖ³¡µÄµçÀ¾ַÅÕÉÁ¿¶¨Î»À´Ëµªª±»²âµçÀ³¤¶ÈÒ»Ö±ÊÇÓ°ÏìÕÉÁ¿×¼È·ÐÔµÄÒ»¸öÖ÷ÒªÒòËØ¡£¡£¡£¡£¡£¡£¡£²»µ«ÊÇÓÉÓÚ¸ü³¤µÄµçÀ¶ÔÓ¦ÓµÓиü´óµÄµçÈÝÖµ£¬£¬£¬£¬£¬£¬¹ØÓÚ¼Óѹ³äµç»·½ÚÒâζןü¸ßµÄ³äµç¹¦ÂÊ£¬£¬£¬£¬£¬£¬Í¬Ê±Ò²ÓÉÓÚ¸ü³¤µÄµçÀÂ»á¸øËùÐè²¶»ñ¾Ö·ÅÐźŴøÀ´¸ü´óµÄË¥¼õºÍ»û±ä¡£¡£¡£¡£¡£¡£¡£
??????? ¹Å°åµ¥¶ËÕñµ´²¨²âÊÔϵͳÊÇ»ùÓÚÔÚ±»²âµçÀµÄÒ»¶Ë¼ì²â¾Ö·Å³õʼÐźźÍͳһ¾Ö·ÅÊÂÎñ´ÓµçÀÂÔ¶¶ËÕۻط´ÉäÐźŵÄʱ¼ä²î¡£¡£¡£¡£¡£¡£¡£ÈôÊǾַÅȱÏÝλÓÚ¿¿½üµçÀ½ü¶ËÒ»²à£¬£¬£¬£¬£¬£¬¾Ö·ÅµÄ·´É䲨ÐÎÔòÐè;¾¶Áè¼Ý 1,5 ±¶µçÀÂÈ«³¤µÄ·¾¶²Å»ªµÖ´ï½ü¶ËµÄ¼ì²âµ¥Î»£¬£¬£¬£¬£¬£¬Õâ»á¸ø¾Ö·ÅÐźŴøÀ´ÎÞ·¨×èÖ¹µÄÎÞν˥¼õ¡£¡£¡£¡£¡£¡£¡£
Êý¾ÝÆÊÎö£º

??????? ÆÊÎö²âÊÔ¸ÅÀÀ½çÃæ¿É¿´µ½ÏêϸµÄÉèÖᢵçÀµĵçÈÝ¡¢Õñµ´ÆµÂÊ¡¢Î¶ȵÈÏêϸÐÅÏ¢

??????? УÑ鲨ÐΣ¬£¬£¬£¬£¬£¬¿É¿´µçÀÂÈ«³¤¼°ÖÐÐÄÌÖÂÛµÄÏêϸλÖÃ

??????? PRPD ͼһÈýÏóÏ޵ķŵçͼÆ×

??????? ·´É伴λÖÃÓ³Ïñͼªªµã»÷ÓÒ±ßѰÕÒ·´É䲨£¬£¬£¬£¬£¬£¬µ±ÐźÅÊÂÎñ½ÏÉÙʱ£¬£¬£¬£¬£¬£¬Îó²î¹æÄ£µ÷´óµã£¬£¬£¬£¬£¬£¬È»ºóÊÓ²ìÓÐÎÞÖù×´·ÅµçÌØÕ÷¼°·ÅµçÌØÕ÷²¨ÐÎ

ÏêϸÐÅÏ¢À¸Àï¿É¿´µçÀµçÈÝÖµ¡¢ÆµÂÊ¡¢×èÄáË¥¼õÇúÏß¼°µçÀµĽéËðÖµ¡£¡£¡£¡£¡£¡£¡£

