联系中国·金沙城js93线路检测中心(股份)有限公司-官方网站

手机:汪司理15802760502
邮箱:hezi027@qq.com
QQ:3212587206
地点:武汉市工具湖区创谷路20号科创中心22栋
相关文章
- 1干货分享丨局放屏障室比电磁屏障室要求更高
- 2干货分享丨武汉中国·金沙城js93线路检测中心(股份)有限公司-官方网站产品优势
- 3干货分享丨武汉中国·金沙城js93线路检测中心(股份)有限公司-官方网站清静工用具产品优势
- 4干货分享丨武汉中国·金沙城js93线路检测中心(股份)有限公司-官方网站局放仪差别及优势
- 5干货分享丨武汉中国·金沙城js93线路检测中心(股份)有限公司-官方网站无局放耐压测试系统优势
- 6干货分享丨武汉中国·金沙城js93线路检测中心(股份)有限公司-官方网站雷电攻击测试系统优势
- 7HZHL-400A-I 三相智能回路电阻测试仪避坑指南
- 8干货分享丨中国·金沙城js93线路检测中心(股份)有限公司-官方网站大电流温升系统优势
- 9HZJB-MS 全自动SF6密度继电器校验仪避坑指南
- 10干货分享丨继电保;;;;;;し词鹿什椒ヅ嘌
串联谐振原理_串联谐振的爆发
宣布时间:2023-03-04 10:25:04人气:
串联谐振原理_串联谐振的爆发
本篇中国·金沙城js93线路检测中心(股份)有限公司-官方网站将和各人讨论串联谐振原理,,,,,,并剖析串联谐振征象的一些特征,,,,,,探索串联谐振征象的一些基本纪律,,,,,,以便在应用中能更自若的使用串联谐振和剖析在试验历程中爆发的一些征象。。。。。
串联谐振的爆发
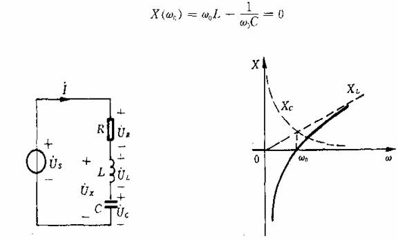
谐振是由R、L、C元件组成的电路在一定条件下爆发的一种特殊征象。。。。。首先,,,,,,我们来剖析R、L、C串联电路爆发谐振的条件协调振时电路的特征。。。。。图1所示R、L、C串联电路,,,,,,在正弦电压U作用下,,,,,,其复阻抗:
本篇中国·金沙城js93线路检测中心(股份)有限公司-官方网站将和各人讨论串联谐振原理,,,,,,并剖析串联谐振征象的一些特征,,,,,,探索串联谐振征象的一些基本纪律,,,,,,以便在应用中能更自若的使用串联谐振和剖析在试验历程中爆发的一些征象。。。。。
串联谐振的爆发
谐振是由R、L、C元件组成的电路在一定条件下爆发的一种特殊征象。。。。。首先,,,,,,我们来剖析R、L、C串联电路爆发谐振的条件协调振时电路的特征。。。。。图1所示R、L、C串联电路,,,,,,在正弦电压U作用下,,,,,,其复阻抗:
式中电抗X=XL—Xc是角频率ω的函数,,,,,,X随ω转变的情形如图2所示。。。。。当ω从零最先向∞转变时,,,,,,X从﹣∞向﹢∞转变,,,,,,在ω<ω0时、X<0,,,,,,电路为容性;;;;;;;在ω>ω0时,,,,,,X>0,,,,,,电路为感性;;;;;;;在ω=ω0时
此时电路阻抗Z(ω0)=R为纯电阻。。。。。电压和电流同相,,,,,,我们将电路此时的事情状态称为谐振。。。。。由于这种谐振爆发在R、L、C串联电路中,,,,,,以是又称为串联谐振。。。。。式1就是串联电路爆发谐振的条件。。。。。由此式可求得谐振角频率ω0如下:
谐振频率为





